Auto sales jumped out to a 14.5 million-unit pace in the opening quarter of 2012. The catalyst was a surging auto finance market in which several key metrics fell to pre-recession levels.
by Melinda Zabritski
July 13, 2012
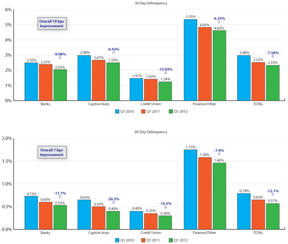
Recent Automotive Delinquency: 30-day delinquency (top) Recent Automotive Delinquency: 60-day delinquency (bottom) How has financing on vehicles changed?
4 min to read
Based on first-quarter data, the auto finance marketplace is the healthiest it has been since the market bottomed out in 2008. Credit scores dropped to near pre-recession levels and the total dollar volume of at-risk loans fell to a six-year low.
Data from the opening quarter of 2012 also shows that more people are financing their vehicle purchases, with all lending segments realizing increases in loan balances. And as has been the case in recent quarters, drops in delinquencies and at-risk loan amounts fueled a more welcoming auto finance market.
Ad Loading...
Consumers who purchased a vehicle in the first quarter were able to finance more expensive vehicles at lower interest rates and longer terms. The drop in credit scores also meant more car buyers with damaged credit were able to obtain financing, which will be key as the industry continues to chase those 16 and 17 million-unit years.
Vehicle Loan Rate: How have rates changed?
Loan Balances on the Rise
Dealers and automakers weren’t the only ones welcoming the 13 percent rise in auto sales during the first quarter. Auto finance sources, which have seen loan balances fall during those lean recessionary years, realized a $26.8 billion increase in outstanding loan balances. Nearly half of that growth was driven by banks, with outstanding balances growing by approximately $13 billion. Captives realized a $7 billion increase, while finance companies and credit unions saw loan balances increase by $4 billion and $2 billion, respectively.
Consumers Driving Lender Confidence
One of the most important measures of the industry’s health is the rate at which consumers are paying back their loans. As in prior quarters, loan portfolios continue to demonstrate a significant improvement in repayment patterns and in the percentage of dollars at risk.
Ad Loading...
On-time payments drove down the 60-day delinquency rate from 0.65 percent in the year-ago period to 0.57 percent in the first quarter, while the 30-day delinquency rate fell from 2.52 to 2.33 percent. The drops helped push the percentage of total dollars at risk to its lowest level since Experian Automotive began publishing delinquencies in first quarter 2006.
In the opening quarter, 30-day delinquencies totaled $12.1 billion, or 1.8 percent of the total loan portfolio, while 60-day delinquencies totaled $2.6 billion, or 0.4 percent of all loans.
Risk Distribution of New Loans: How has financing on vehicles changed?
Lower Rates, Longer Terms
Finance sources rewarded consumers for their improved repayment pattern with more favorable terms and interest rates. They also provided car buyers with access to more expensive cars at lower monthly payments.
Interest rates for new-vehicle loans came in at 4.56 percent in the first quarter, down from 4.83 percent in the year-ago period. For used-vehicle loans, interest rates fell from 9.08 percent in the year-ago quarter to 9.02 percent in the first quarter.
Ad Loading...
Loan terms for new-vehicle loans increased by a month from a year ago to 64 months, while terms on used-vehicle loans inched up from 58 months to 59 months.
Consumers responded by taking out slightly larger loans during the quarter, with the average amount financed on new vehicles rising by $589 to $25,995. For used vehicles, the average amount financed increased by $411, bringing the average total to $17,050.[PAGEBREAK]
Credit Scores Closing In on 2008 Scores
Making clear how far the auto finance industry has come since the credit crisis of 2008 were the average credit scores of auto loans originated during the first quarter. Not only have scores dropped to near pre-recession levels, the percentage of credit-challenged consumers able to obtain an auto loan ticked up for the third straight quarter.
The average credit score for new-vehicle financing dropped six points from a year ago to 760, while scores for used-vehicle financing fell four points to 659. In addition, the share of credit-challenged consumers able to obtain vehicle financing grew by 11.4 percent during the reporting period.
Ad Loading...
Since the third quarter 2011, scores have dropped three points for new-vehicle financing and 17 points for used. Looking at the first quarter 2008, the average credit score was 753 for new vehicles and 653 for used.
Staying Recession-Free Key
A reduction in average credit scores, interest rates and the lengthening of loan terms are all very good signs for manufacturers, dealers and especially consumers. However, it is important for the industry to keep an eye on emerging economic trends.
Unemployment remains high, and job creation numbers in the past three months have been tepid at best. If these trends continue, lenders will need to monitor delinquencies — any rise in unemployment could have a detrimental impact on loan repayments. So, while things are good today, lenders must remain cautiously optimistic and stay nimble in their reaction to any negative changes in consumer behavior.
Melinda Zabritski serves as director of automotive credit for Experian Automotive. E-mail her at melinda.zabritski@bobit.com
In this video, Reese Dailey explains how effective follow-up drives better results
across the dealership, including increased sales, higher F&I penetration, and
stronger customer retention.
Deal volume ebbed and flowed throughout 2025, but product performance remained steady, according to automotive technology and data intelligence solutions provider StoneEagle.
A TransUnion study found that relationship-driven sales models proved to be important, as consumers who used an agent had a lower shopping intensity than those going it alone.
In this video, Reese Dailey of the Automotive Training Academy by Assurant reveals strategies to make cash deals profitable without relying on monthly payment bumps.
Suite of new APIs, product enhancements and integrations is designed to help maximize contracting and funding efficiency for lenders and their dealer partners.